観測記録(2008年岩手宮城内陸地震)
波形
SSA-16で観測された波形
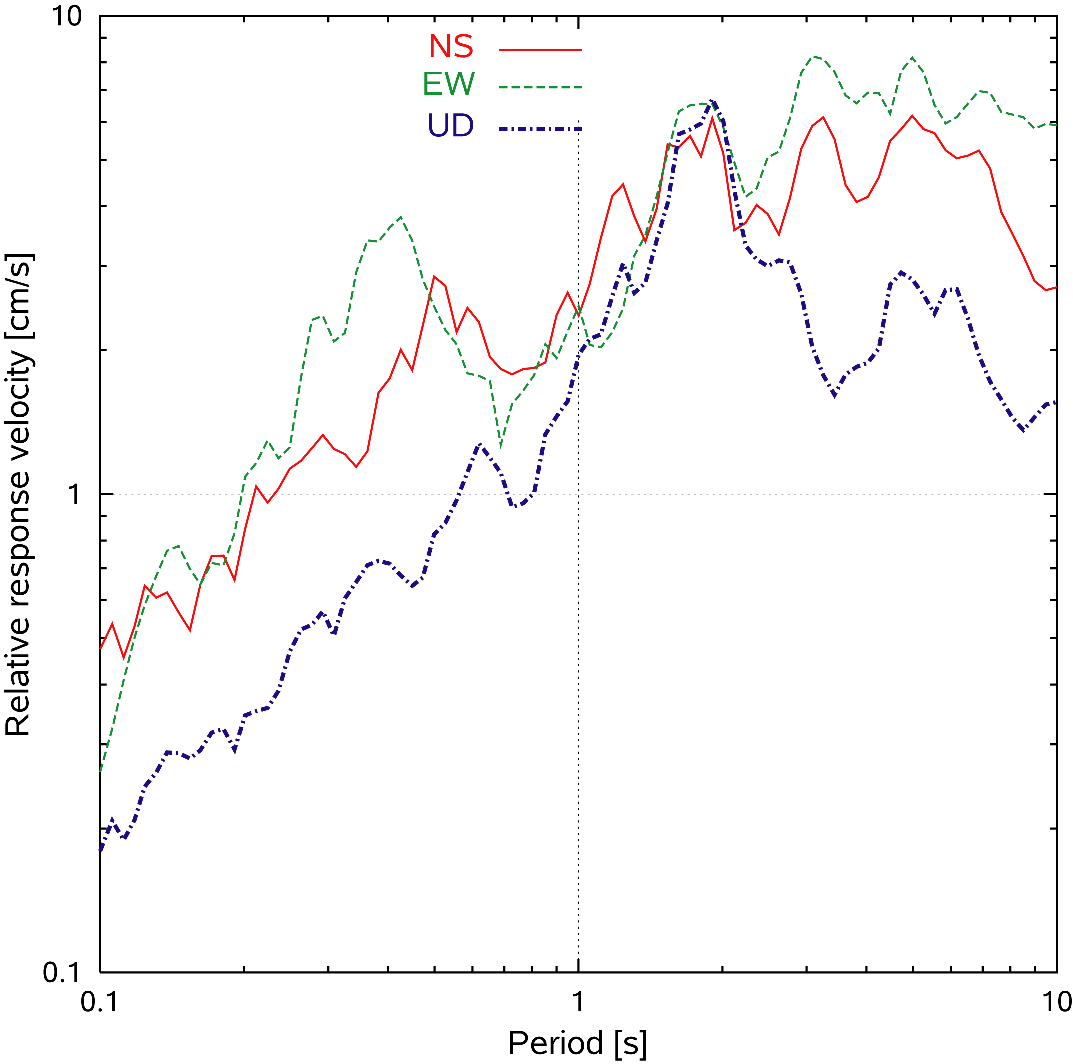
応答スペクトル
波形記録から算出した減衰定数5%の速度応答スペクトル
計測震度
弘前市内の強震観測点における計測震度
※SSA-16は工学院大学
久田先生
のプログラムを用いて計算
観測点
計測震度
JMA
2.6(公表値)
HRH(建築研究所)
3.0(公表値)
K-NET(弘前市内)
2.8(公表値)
SSA16(弘前大学)
2.8(計算値)
<< 戻る
Copright 2007 Kataoka. All right reserved